In 2013 the mathematical scientist Ian Steward published a book containing the “17 equations that changed the world”.
Nowadays, mathematics is all around us, even if we don’t realize it, from the simplest to the most complex.
Here we tell you what each of the 17 equations that changed the world and have been inherited by today’s world is all about.
17 Equations that changed the World

1.- Pythagorean Theorem

The Pythagorean theorem is a mathematical formula used in right triangles to calculate the length of one of the sides, called the hypotenuse.
A right triangle has a right angle, which forms a 90-degree angle, and two surrounding sides, called legs. The hypotenuse is the side opposite the right angle and is the longest side in a right triangle.
The formula of the Pythagorean theorem says that the square of the hypotenuse is equal to the sum of the squares of the legs. That is, if we have a right triangle with legs of length a and b, and we want to find the length of the hypotenuse (c), we can use the formula:
c² = a² + b²
Then, to find the length of the hypotenuse, we simply take the square root of both sides of the equation:
c = √(a² + b²)
It’s that easy! The Pythagorean theorem is used in many fields, such as architecture, engineering, physics and geometry, and is a very useful tool for solving mathematical problems involving right triangles.
2.- Logarithms

Logarithms are a mathematical tool used to simplify calculations and express large numbers in a simpler way. In essence, logarithms are the exponent to which we must raise a specific base to obtain a given number.
For example, if we have the equation log2(8) = 3, this means that 2 raised to the third power equals 8. That is, 2 x 2 x 2 x 2 = 8.
Logarithms have many applications in real life, especially in fields such as science, engineering, economics and technology. Some examples of practical applications of logarithms are:
- In acoustics: logarithms are used to measure sound intensity in decibels (dB), allowing the sound from two different sources to be compared more accurately.
- In economics: logarithms are used to measure the rate of growth of prices and profits over time.
- In engineering: logarithms are used to calculate the magnitude of forces and stresses in structures and materials, allowing buildings, bridges and other structures to be designed more safely.
- In technology: logarithms are used in data compression, which allows large amounts of information to be stored and transmitted in a smaller space.


3.- Calculation

Refers to the result corresponding to the action of calculating or counting. Calculating, on the other hand, consists of performing the necessary operations to foresee the result of a previously conceived action, or to know the consequences that can be derived from previously known data.
Newton calculus is a branch of mathematics that focuses on the study of change and rate of change in functions. It is an essential tool in physics, engineering, economics, statistics and many other areas of science.
Newton’s calculus is divided into two parts: differential calculus and integral calculus. Differential calculus is used to find the rate of change of a function at a given point, while integral calculus is used to find the total amount of change in a function over a given interval.
Some practical applications of Newton’s calculus are presented below:
- Calculation of velocity and acceleration: used to calculate the velocity and acceleration of a moving object. In physics, these measurements are fundamental to understand the motion of bodies and predict their trajectory.
- Function optimization: used to find the maximum or minimum values of a function. In economics, for example, it is used to maximize a company’s profits or minimize production costs.
- Mathematical modeling: used to model and simulate complex systems. In engineering, for example, it is used to model the flow of liquids in a pipe or the movement of an object in space.
- Data analysis: used in data science to analyze and predict patterns in data sets. For example, it can be used to fit a curve to a data set and predict future values.
- Control system design: used in engineering to design control systems. For example, it can be used to design an automatic control system to maintain a constant temperature in a room.
- Calculus of integrals: Newton calculus is used to calculate integrals, which are fundamental in physics, engineering and other disciplines. For example, it is used to calculate the amount of work done by a force as an object moves.
Law of Gravity

The law of gravity, also known as the law of universal gravitation, states that every body in the universe attracts every other body with a force that is proportional to the masses of the bodies and the distance between them. This law was discovered by Sir Isaac Newton in the 17th century and has become one of the fundamental laws of physics.
The law of gravity has numerous practical applications in civilization, including:
- Astronomy: To understand and predict the motion of planets, satellites and other objects in space. For example, the law of gravity is used to calculate the Earth’s orbit around the Sun.
- Geology: To study the internal structure of the Earth. Geologists use gravity measurements to identify changes in the density and composition of the Earth’s crust.
- Navigation: To calculate the position and movement of ships and airplanes. Modern navigation systems use gravity measurements to determine the height and speed of an object.
- Engineering: In the construction of buildings and bridges. Engineers use gravity to calculate the load that structures will bear and to design drainage and sewerage systems.
- Communications: To calculate the position of satellites and to predict the motion of celestial bodies. This is essential for satellite communication and GPS navigation.
5.- The square root of minus one

Ordinary and ordinary numbers, ‘the square root of minus one’ does not exist. However, mathematicians find it useful to invent an entirely new type of number to fulfill that role. They decided to assume that such a root actually existed, writing the ‘i’ to represent it. (The letter ‘i’ was chosen because it stands for “imaginary”).
The formula for the square root of minus one is known as the imaginary number “i”. This formula has applications in civilization in various areas, such as mathematics, physics, engineering and electronics. Some of its applications are:
- Mathematics: The square root formula of minus one is used in mathematics to solve quadratic and other complex equations. It is also useful in the study of complex functions, such as complex trigonometric and exponential functions.
- Physics: Used in physics to describe wave phenomena, such as the propagation of electromagnetic waves in space. It is also used to describe the polarization of light and other optical phenomena.
- Engineering: Used in electrical engineering to describe alternating current signals, such as sine waves and radio signals. It is also used in control theory and systems engineering to analyze and design complex systems.
- Electronics: Used in electronics to describe the response of electrical circuits to input signals. It is also used in the analysis and design of electronic filters and other complex electronic devices.
6.- Euler’s Formula for Polyhedron


Euler’s formula for polyhedra is a mathematical relationship used to describe the relationship between the number of vertices, edges and faces in a polyhedron. This formula establishes that for any convex polyhedron, the number of vertices (V) minus the number of edges (E), plus the number of faces (F), is always equal to 2. That is, V – E + F = 2.
It has several practical applications in civilization, among them:
- Geometry: To classify and describe the different types of polyhedra, such as Platonic solids, regular polyhedra and Archimedean polyhedra. It is also used in the construction and design of polyhedra, as well as in the creation of architectural and structural models.
- Topology: In topology to study the properties of surfaces and three-dimensional objects. For example, it is used to analyze the properties of curved surfaces such as spheres and toroids.
- Engineering: In engineering to analyze and design three-dimensional structures, such as bridges and buildings. It is also used to analyze the stability and resistance of structures to external loads.
- Computer science: In computer science for modeling and designing three-dimensional objects in graphic design, animation and virtual reality. It is also used in the creation of algorithms for image processing and shape recognition.
7.- Normal distribution

The normal distribution or Gaussian distribution is a continuous probability distribution used to model many natural and social phenomena in which data are distributed around a central mean. This distribution is characterized by a symmetrical bell shape and is completely described by two parameters: the mean and the standard deviation.

The normal distribution has several practical applications in the development of civilization, among them:
- Statistics: The normal distribution is a fundamental tool in statistics, as it is used to model and analyze quantitative data in various areas, such as economics, psychology and biology. It is used to describe the distribution of data in a population and to calculate probabilities of random events.
- Engineering: For the design of systems and products, since it allows to analyze and predict the variability of processes and products. For example, it is used in quality engineering to analyze the quality of manufactured products and to improve production processes.
- Finance: To model and analyze investment returns and financial risks. It is used in the valuation of options and in the analysis of investment portfolios.
- Medicine: To analyze and model the results of medical tests and to evaluate the effects of medical treatments. It is used to analyze the distribution of health measures in the population, such as height and weight.
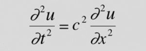
8.- Wave Equation

The wave equation is a partial differential equation that describes how waves propagate in time and space. It is used to model a wide variety of wave phenomena, such as sound waves, electromagnetic waves, seismic waves and waves in water.
Its main uses in the development of civilization are:
- Communications: To model and analyze electromagnetic signals propagating in space. It is used in telecommunications engineering to design and optimize communication networks and to develop new communication technologies.
- Acoustics: To model and analyze sound waves propagating in air and other media. It is used in acoustic engineering to design and optimize sound systems and to develop new noise reduction technologies.
- Geophysics: To model and analyze seismic waves propagating in the Earth. It is used in geophysical exploration to identify and map natural resources, such as oil and gas.
- Medicine: For modeling and analyzing sound waves used in ultrasound and ultrasound therapy. It is used to develop new diagnostic and medical treatment techniques.
9.- The Fourier transform

The Fourier transform is a mathematical tool that allows to decompose a complex signal into its fundamental components, that is, into the different frequencies that compose it. This transform is used in various areas of science and technology for signal analysis and processing, as well as for the design of electronic systems and devices.
The most important uses of the Fourier transform for the development of civilization are the following:
- Signal processing: In signal processing to analyze and filter audio, video, image and other types of signals. For example, it is used in medical imaging to detect tumors and other abnormalities.
- Communications: To analyze and design data transmission systems. For example, it is used in frequency modulation to transmit radio and television signals.
- Electrical engineering: To analyze and design electronic circuits and control systems. For example, it is used in the design of filters for audio systems and in the design of electric motor control systems.
- Mathematics: To solve differential equations and other applications. For example, it is used in solving wave equations and in the theory of special functions.
10.- Navier-Stokes Equations

The Navier-Stokes equations are a set of partial differential equations that describe the motion of fluids, such as liquids and gases. These equations are important in fluid mechanics and are used to model a wide variety of phenomena, such as air flow around airplanes, blood circulation in the human body, wave generation in the ocean, among others.

The most important uses of the Navier-Stokes equations for the development of civilization are the following:
- Aeronautical engineering: To analyze airflow around aircraft and to design more efficient aerodynamics. They are used to simulate and predict fluid behavior around aircraft structures.
- Mechanical engineering: To analyze the flow of liquids through pipes, valves and other components of hydraulic systems. They are used to design more efficient piping systems and valves and to predict the behavior of fluids in hydraulic systems.
- Geophysics: To analyze ocean circulation and the earth’s atmosphere. They are used to simulate and predict the behavior of fluids in the oceans and atmosphere.
- Medicine: To analyze blood flow in the human body and to design vascular prostheses. They are used to simulate and predict the behavior of fluids in the human circulatory system.
Maxwell’s equations

Maxwell’s equations are a set of four partial differential equations that describe the behavior of electromagnetic fields, i.e., the electric field and the magnetic field, in the presence of sources such as electric charges and electric currents. These equations are fundamental in the study of electricity and magnetism and have a large number of practical applications.

The most important uses of Maxwell’s equations in the development of civilization are as follows:
- Information and communications technology: For example, they are used in the theory of electromagnetic waves, which is the basis of radio, television, mobile telephony, internet technologies, among others.
- Electrical and electronic engineering: To design and analyze devices such as transformers, electric motors, generators, electrical and electronic circuits, among others.
- Medicine: For the design and analysis of medical diagnostic technologies, such as MRI and CT scans.
- Renewable energies: In the generation and distribution of electricity from renewable sources such as solar and wind energy. For example, they are used in the design and analysis of solar panel systems and wind turbines.
- Scientific research: Maxwell’s equations also have important uses in scientific research, in fields such as physics, chemistry, biology, among others.
12.- Second Law of Thermodynamics

The Second Law of Thermodynamics is one of the fundamental principles of physics that describes the irreversibility of thermodynamic processes in the universe. In its most common formulation, the Second Law states that heat flows spontaneously from a high-temperature region to a low-temperature region, and that it is not possible to completely transform heat into useful work without generating some form of entropy (a measure of the amount of disorder or energy degradation in a system).

The most important applications of the Second Law of Thermodynamics in the development of civilization are the following:
- Energy production: Fundamental in the production of energy in thermoelectric power plants, where thermal energy is used to generate electricity. It is also essential in the production of renewable energy, such as solar and wind power.
- Engine design: Essential in the design of engines, such as internal combustion engines, turbines and electric motors. The efficiency of these motors is limited by the Second Law, since it is not possible to completely transform heat into useful work.
- Refrigeration: Refrigeration and air conditioning systems exploit the transfer of heat from a cold to a hot medium, which requires work and generates entropy.
- Materials technology: Limits efficiency in the production and processing of materials and alloys, such as steel production.
- Biology: Establishes that any biological process is irreversible and generates entropy. For example, respiration and digestion are processes that transform chemical energy into useful work, but generate entropy in the process.
13.- The Theory of Relativity

The Theory of Relativity is a physical theory developed by Albert Einstein in the 20th century that describes how matter and energy behave in the universe, especially at speeds close to the speed of light. The Theory of Relativity is divided into two parts: Special Relativity, which describes the behavior of objects in uniform motion, and General Relativity, which describes the relationship between matter and gravity.
The most important applications of the Theory of Relativity in the development of civilization are the following:
- GPS navigation systems: Essential in the operation of GPS navigation systems, since GPS satellites must take into account the differences in time measured on Earth and in space due to the time dilation predicted by the Theory of Relativity.
- Particle accelerator technology: Used to describe the behavior of subatomic particles that are accelerated to speeds close to the speed of light.
- Nuclear energy: Describes how energy is produced in nuclear reactions and how mass is converted into energy, as described in the famous equation E=mc^2.
- Astronomy: Describes the behavior of light in space and how it bends in the presence of strong gravitational fields, such as those produced by stars and galaxies.
- Communication technology: Describes how electromagnetic waves, such as radio waves and light, behave in space and in the presence of gravitational fields.
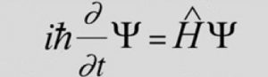
14.- Schrödinger’s equation

The Schrödinger equation is a fundamental equation in quantum physics that describes the time evolution of the wave function of a quantum system. It was proposed by the Austrian physicist Erwin Schrödinger in 1925 and is one of the theoretical bases of quantum mechanics.
The Schrödinger equation is used to describe the behavior of quantum systems, such as atoms, molecules and subatomic particles. Its mathematical formulation is complex, but can be summarized in general terms as an equation that describes how the wave function of a quantum system changes over time.
The most important applications of the Schrödinger equation in the development of civilization are the following:
- Electronics and semiconductor technology: The Schrödinger equation is used to describe the behavior of electrons in semiconductor materials, such as those used in electronics and computing, and is essential for the design and manufacture of electronic devices such as transistors, diodes and integrated circuits.
- Chemistry and materials: Used to describe the structure and dynamics of molecules and materials at the molecular level, which is essential for chemistry and materials science and for the design of new materials and drugs.
- Particle physics: Used in particle physics to describe the behavior of subatomic particles, such as electrons, protons and neutrons, and is essential for understanding the structure and dynamics of atomic nuclei.
- Quantum cryptography: A form of cryptography that uses the principles of quantum mechanics to ensure information security.
15.- Information Theory

Information theory is a branch of mathematics and computer science that deals with the processing, storage and transmission of information. It was developed by the American mathematician Claude Shannon in the 1940s and has become an essential field of study for modern information and communication technology.
Information theory focuses on the measurement and quantification of information, the efficiency of communication systems, and the ability of systems to detect and correct errors. Its most important applications in the development of civilization are the following:
- Telecommunications: Information theory is used in the design and optimization of communication systems, such as telephone networks, cable television, Internet data transmission, among others.
- Data compression: Used in data compression to reduce the size of data files without losing important information. It is essential for the efficient transmission and storage of large amounts of data, such as images, videos, music and documents.
- Cryptography: Information theory is used in cryptography, which is the study of algorithms and protocols that ensure information security. It is essential for the secure transmission and storage of sensitive data, such as financial, medical or governmental information.
- Artificial intelligence: For data classification, natural language processing and pattern recognition. It is essential for the development of applications such as recommender systems, chatbots and virtual assistants.
16.- Chaos theory

Chaos theory is an interdisciplinary field of study that focuses on complex, nonlinear dynamical systems that appear to be highly sensitive to small variations in initial conditions. This theory is concerned with understanding emergent patterns and unpredictability in dynamic systems, such as climate, biology, economics, physics and many others.
Although often associated with the idea of “chaos” or disorder, chaos theory also addresses the underlying patterns and inherent structure of complex systems. Some of the most important uses of chaos theory in the development of civilization are as follows:
- Meteorology: Used in weather forecasting and meteorology. By understanding how small variations in initial conditions can have a large impact on the final outcome, scientists can improve the accuracy of climate predictions.
- Economics: To understand how small shocks can trigger large changes in financial and economic markets. It is also used in market trend forecasting and financial risk assessment.
- Biology: To understand emerging patterns in biological systems, such as disease spread, species evolution and animal population behavior.
- Physics: To understand nonlinear systems and complex phenomena such as turbulence, fluid dynamics and wave propagation.
- Engineering: To improve the design and optimization of complex systems, such as process control systems, communication networks and transportation systems.
17.- Black-Scholes Equation

The Black-Scholes equation is a mathematical formula used in finance to determine the theoretical price of a financial option, taking into account factors such as the current price of the underlying asset, the risk-free rate, the volatility of the asset price and the time remaining until expiration of the option.
The Black-Scholes equation was developed in 1973 by economists Fischer Black and Myron Scholes, and has become a widely used model in finance for pricing options on stocks, bonds and other types of financial assets. It is considered one of the most important contributions to modern financial theory.
The most important uses of the Black-Scholes equation in the development of civilization are as follows:
- Option Valuation: By providing an accurate formula for the theoretical price of an option, the equation allows investors and companies to calculate the value of their options and make informed decisions on how to invest their capital.
- Risk management: By providing an accurate way to calculate the price of an option, the equation allows investors and companies to better identify and manage the risks associated with investing in options.
- Financial research: The Black-Scholes equation has been used in a great deal of financial and academic research. It has been extensively studied and has led to numerous variations and improvements in modern financial theory.
- Development of financial instruments: The Black-Scholes equation has been used to develop new types of financial instruments, such as exotic options and binary options.
COMPARTE ESTE ARTICULO EN TUS REDES FAVORITAS:
Related
Discover more from Cerebro Digital
Subscribe to get the latest posts sent to your email.
